豪门国际

知识科普|外泌体——抗衰、递送小能手

日期:01-22  点击:  属于:知识科普

 

什么是外泌体

外泌体(exosome)是直径在30-150nm之间的细胞外囊泡。外泌体携带细胞的DNA、RNA、蛋白质和脂质等信息分子,参与细胞间物质运输与信息传递,调控生理和病理过程,并对受损和衰老的细胞有一定的修复和唤醒功能。但也因细胞来源不同,外泌体的成分存在差异。

1983年,外泌体首次于绵羊网织红细胞中被发现,最初被认为是细胞排泄废物的一种载体。随着对其生物来源及结构组成等方面的不断深入研究,发现外泌体在细胞通讯中发挥重要作用,它们具有穿过屏障(如细胞质膜、血脑屏障和胃肠道)的能力,充当全身“货物”的天然载体。

2013年,美国科学家James E. Rothman、Randy W. Schekman及德国科学家Thomas C. Südho,因发现并阐释外泌体运输系统及其调控机制,共同取得2013年诺贝尔生理学或医学奖

 

外泌体的分布

几乎所有类型的细胞都可以分泌外泌体,他们广泛存在于各种体液中,包括血液、眼泪、尿液、唾液、乳汁等。例如间充质干细胞(MSCs)分泌的外泌体在许多研究中发现其在免疫调节中有重要作用,并对受损和衰老的细胞有一定的修复和唤醒功能。

外泌体被广泛应用于临床诊断、食品、化妆品、科学研究和药物递送中,具有十分广阔的应用前景。

 

 

 

深圳豪门国际超纯外泌体原液

深圳豪门国际工业化生产人间充质干细胞源性外泌体,质量均顺利获得第三方检验公司检测。利用蛋白质免疫印迹技术鉴定外泌体阳性蛋白标志物跨膜蛋白CD9、CD63、CD81以及溶质蛋白TSG101均为阳性,外泌体阴性蛋白标志物内质网蛋白Calnexin为阴性,符合国际囊泡协会(MISEV2023)对外泌体鉴定的规定[1]

同时,用纳米流式检测仪检测外泌体的粒径、浓度,外泌体大小均一,符合鉴定标准。

深圳豪门国际人间充质干细胞外泌体第三方检测报告-外泌体标志物

深圳豪门国际人间充质干细胞外泌体第三方检测报告-粒径浓度

 

外泌体产品应用

1. 诊断:外泌体不仅存在于几乎所有的生物体液中,因而具有多组分分析的潜力,并且外泌体双层膜赋予外泌体足够的稳定性,可防止其携带的生物学信息在体液循环中被降解,有利于生物学信息的捕获,因此成为癌症液体活检中最新、最有吸引力的生物标志物。外泌体作为一种新的癌症生物标志物,可用于辅助诊断肺癌、乳腺癌、消化道癌、肝细胞癌、胰腺癌、泌尿系统癌症、妇科癌症、血液恶性肿瘤、黑色素瘤等多种癌症[2]

2. 治疗:结合外泌体的免疫调节功能和药物载体特性,可以在化学治疗的同时启动抗肿瘤免疫反应,这对肿瘤有显著的治疗作用。自然杀伤细胞分泌的外泌体对多种人类肿瘤细胞均显示细胞毒性。现已有树突状细胞外泌体的相关疫苗被开发,且用于临床试验,但仍处于初期阶段。现在,由树突状细胞分泌的外泌体被认为是肿瘤疫苗最有希望的载体[3]

3. 药物递送:由于外泌体表面同样是脂质双分子层结构,因此其作为药物的递送载体时,能够更加容易地将药物递送到细胞内部,发挥治疗作用。外泌体顺利获得装载不同蛋白、核酸和脂质发挥不同的治疗效果。作为理想递送载体的外泌体应当不仅能够靶向不同的组织和器官,还能够特异性增强或减弱所靶向的组织或器官的功能。研究人员顺利获得多种工程化手段建立了各类工程化外泌体,以提高外泌体的载药能力[4]

4. 功能医学:外泌体除了在以上领域的研究和应用外,其在功能性护肤和抗衰、再生修复甚至毛发管理等项目的潜在应用,受医疗美容人士青睐[5,6]

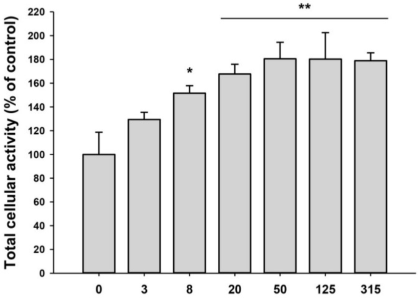
有研究者认为,干细胞外泌体对皮肤抗衰老有效。研究者从人诱导多能干细胞 (iPSC) 的条件培养基中收集了外泌体,并研究了对老年人真皮成纤维细胞 (HDF) 的影响。

iPSC-Exo对人真皮成纤维细胞(HDFs)增殖的影响

研究结果显示,在正常条件下,iPSCs-Exo能够促进两种HDFs的增殖和迁移,并增加I型胶原的表达水平。同时,iPSCs-Exo还显著降低后者的衰老相关指标,包括半乳糖苷酶(SA-BETA-GAL)和金属蛋白酶(MMP-1/3)的表达水平。SA-BETA-GAL的高表达不断是自然衰老的标志,而MMP-1/3是细胞衰老过程中高表达的重要酶物质。预处理HDFs使用诱导多能干细胞来源的外泌体(iPSCs-Exo)结果显示,能够抑制由UVB辐照引起的损伤和MMP-1/3的过表达。综上所述,这些结果表明 iPSCs-Exo 在治疗皮肤衰老方面具有治疗潜力[7]

 

参考文献:

[1] Welsh J A, Goberdhan D C I, O'Driscoll L, et al. Minimal information for studies of extracellular vesicles (MISEV2023): From basic to advanced approaches[J]. Journal of extracellular vesicles, 2024, 13(2): e12404.

[2] 梁硕,邱宇飞,王译羽,等.外泌体作为潜在肿瘤标志物的定量检测方法研究进展[J].药学进展,2023,47(11):837-848.DOI:10.20053/j.issn1001-5094.2023.11.005.

[3] 朱晓娴,陈慧芝,崔奎琰,等.外泌体在肿瘤诊断和治疗中的应用现状与展望[J].中国医药导报,2023,20(09):41-45.DOI:10.20047/j.issn1673-7210.2023.09.08.

[4] 崔璟,张燕,张宁坤,等.工程化外泌体在药物递送研究中的进展[J].药学进展,2024,48(08):633-640.DOI:10.20053/j.issn1001-5094.2024.08.008.

[5] Park GH, Kwon HH, Seok J, et al. Efficacy of combined treatment with human adipose tissue stem cell-derived exosome-containing solution and microneedling for facial skin aging: A 12-week prospective, randomized, split-face study. J Cosmet Dermatol. 2023 Dec;22(12):3418-3426.

[6] 郑舒丹,吴金燕,张利平,等.干细胞源性外泌体在美容皮肤病学中的研究进展[J].中国美容整形外科杂志,2023,34(04):246-248+259.

[7] Myeongsik O,Jinhee L,Yu K,et al.Exosomes derived from human induced pluripotent stem cells ameliorate the aging of skin fbroblasts[J].Int J Mol Sci,2018,19(6):1715.

免责声明:深圳豪门国际致力于研究细胞与基因疗法,为有助于新兴技术,让更多人分析生物医药新开展。本文内容仅作信息研讨使用,本平台对文中内容、陈述、观点判断保持中立,不代表深圳豪门国际立场和观点。本文相关信息不得用作诊断或治疗,不能代替专业医学意见,本公众平台将不承担任何责任。以上声明内容的最终解释权归本公众平台所有,本声明将适用本平台所有时间分享的文章,谢谢合作!

版权说明:文章版权归深圳豪门国际所有,欢迎个人转发至朋友圈,媒体或组织在未经授权下,以任何形式转载到其他平台,将视为侵权。转载授权请在「深圳豪门国际」微信公众号回复“转载”,获取转载须知。

 

往期推荐  //

 

知识科普 | APUNK™——非基因修饰同种异体NK细胞产品

知识科普 | 靶向BCMA的CAR-T研究进展

知识科普 | 临床应用CAR-T等细胞产品后的不良风险有效控制(下)

知识科普 | 临床应用CAR-T等细胞产品后的不良风险有效控制(上)

关于深圳豪门国际

深圳豪门国际生物医药有限公司(下称:深圳豪门国际)是国内唯一一家可给予工业级逆转录病毒载体的细胞与基因治疗一站式解决方案服务商,由来自美国哈佛大学和加州大学圣迭戈分校等海归科学家联合创办,拥有国内首批掌握工业级逆转录病毒载体技术(PackRV-SS系统)的研发生产团队。深圳豪门国际已建成规范化,标准化,工业化生产GMP级逆转录病毒载体CAR-T等细胞产品管线,已在深圳、北京和中山三地建立产业联动,建成共计超万平符合国际GMP标准的生产车间及研发实验室。深圳豪门国际病毒载体管线,到细胞产品管线,再到IIT/IND/NDA辅助申报,再到行业内人才培养已建立成熟的全流程、一站式委托服务,建有逆转录病毒、慢病毒等多种病毒载体生产管线及CAR-T、CAR-NK、TCR-T等细胞生产管线。同时与审评检验组织、科研院所、医院和行业龙头企业深度合作,给予IIT、IND辅助申报服务。

深圳豪门国际是深圳市生物医药产业重大公共服务平台、深圳市重大项目、深圳市高新区开展专项计划创新平台成果产业化基地、“聚龙领军人才”D类高成长性企业、细胞产业关键共性技术国家工程研究中心病毒载体共性技术研究平台、中国食品药品企业质量安全促进会副会长单位、深圳市医学研究专项资金依托单位、深圳市生物医药产教联盟副理事长单位、全国生物技术行业产教融合共同体常务理事单位、深圳市生物医药促进会理事单位、2022年度坪山区“十大创新平台”、科技型中小企业、创新型中小企业、深圳市坪山区大学生实习基地,荣获2024年度亚太区细胞与基因治疗行业之星“最佳技术突破奖”、第十二届中国创新创业大赛优秀企业奖、中国创交会创新创业大赛三等奖、CGT领域CDMO合作启明星奖。

左右滑动可浏览更多图片

END

 

微信公众号

市场部:孙女士

细胞惠众生 基因创未来

 分析更多内容请登录  

www.cdjdjjc.com

全国统一服务热线

400-800-1266

 

微信公众号
扫一扫,关注我们最新消息扫一扫,关注我们最新消息
联系我们
400-800-1266

工作时间:周一至周五 9:00-18:00

联系人:赖女士

手机:13670105633

邮件:laijiaqi@cdjdjjc.com

地址:深圳市坪山区坑梓街道金沙社区荣田路1号海普瑞生物医药生态园

底部导航
深圳豪门国际生物医药有限公司是中国一家专注于细胞和基因治疗产业领域的一站式综合外包服务商,也是国内首批具备临床级逆病毒载体GMP工业化生产的CRO/CDMO公司。 深圳豪门国际是深圳市重大CRO/CDMO公共技术服务平台建设项目,也是深圳市最新公布的20+8战略性新兴产业项目。深圳豪门国际具有规范化,标准化,工业化生产GMP级CAR-T等细胞产品的能力,主要建有CAR-T、CAR-NK、CAR-M、γδT、TIL、TCR-T等细胞产品生产线,逆病毒、慢病毒、非病毒载体、AAV等多种病毒载体以及外泌体、基因工程抗体、细胞因子、溶瘤病毒、疫苗等药品生产的细胞原料产品生产线。
深圳豪门国际生物医药有限公司 版权所有 粤ICP备2024168379号 互联网药品信息服务资格证书:(粤)-非经营性-2022-0426  技术支持:友点软件